Задать свой вопрос
*более 50 000 пользователей получили ответ на «Решим всё»
Задача 3458
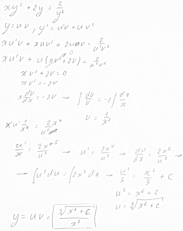
xy'+2y=2/y^2 решить дифференциальное...
Условие
slava191
18.08.2015
xy'+2y=2/y^2 решить дифференциальное уравнение
математика ВУЗ
1571
Решение
Ответ:
В решение
Написать комментарий
Меню
Решим всё
Найти задачу
Категории
Статьи
Тесты
Архив задач
Присоединяйся в ВК