ОДЗ:
x^2+0,1x≠ 0
0,2x^2+0,3x≠ 0
ОДЗ можно не считать,
после того как найдены корни, просто подставить их в неравенства ОДЗ
Решение.
x+0,4=0
[b]x= - 0,4[/b]
Дроби равны, числители равны, значит равны и знаменатели:
x^2+0,1x=0,2x^2+0,3x
0,8x^2-0,2x=0
0,2x(4x-1)=0
x=0 или 4x-1=0
x=0 или x=0,25
x=0 не является корнем уравнения, так как противоречит ОДЗ
О т в е т. [b]-0,4 +0,25=- 0,15[/b]
2.
ОДЗ:
x-1≠ 0
x+1≠ 0
Переносим все в одну сторону, меняем знак перед последней дробью и в знаменателе:
3/(х-1) - 5/(х+1) - 8 + 13/(х^2-1) =0
Приводим дроби к общему знаменателю и приравниваем к 0 числитель:
3(x+1)-5(x-1)-8(x^2-1)+13=0
3х+3-5х+5-8x^2+8+13=0
-8x^2-2x+29=0
8x^2+2x-29=0
D=2^2-4*8*(-29)=4+32*29=932 > 0
Значит уравнение имеет два корня и они не равны ±1
По теореме Виета
x_(1)*x_(2)=- 29/8
О т в е т. [b] - 29/8[/b]
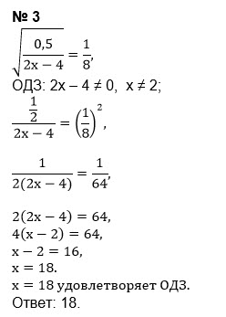
3.
Возводим в квадрат
0,5/(2х-4)=1/64
Пропорция
2х-4=0,5*64
2х-4=32
2х=36
х=18
Проверка:
sqrt(0,5/(2*18-4))=sqrt(1/64)=1/8
1/8=1/8 - верно
О т в е т. [b]18[/b]

