Задать свой вопрос
*более 50 000 пользователей получили ответ на «Решим всё»
Задача 3456
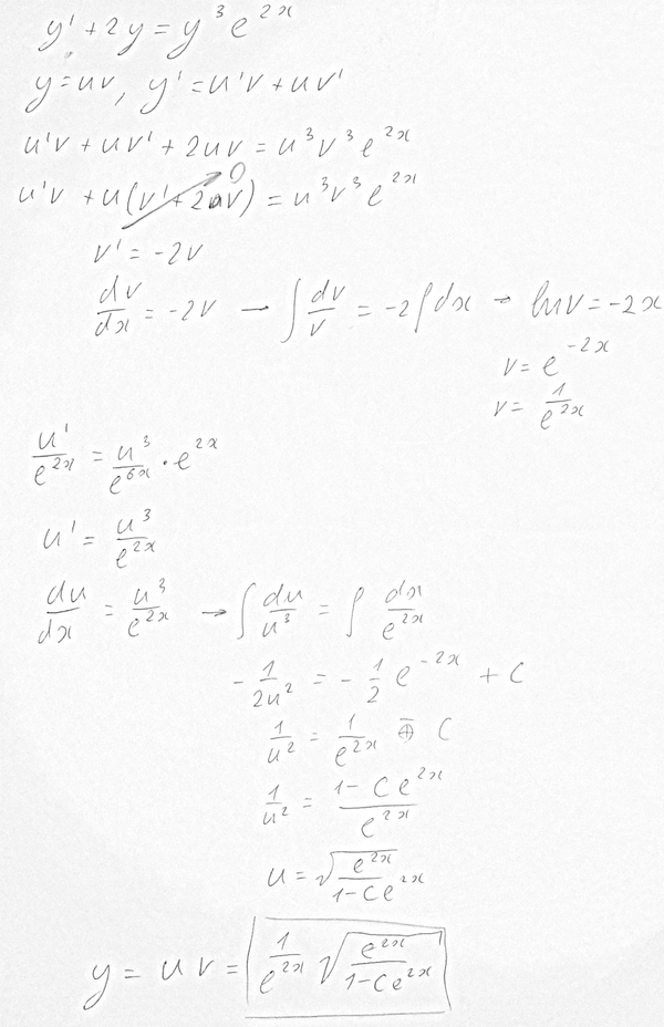
y' + 2y = y^3e^(2x) решить...
Условие
slava191
18.08.2015
y' + 2y = y^3e^(2x) решить дифференциальное уравнение
математика ВУЗ
4066
Решение
Ответ:
В решение
Написать комментарий
Меню
Решим всё
Найти задачу
Категории
Статьи
Тесты
Архив задач
Присоединяйся в ВК