Задать свой вопрос   *более 50 000 пользователей получили ответ на «Решим всё»

Задача 34508 Упростите выражение и найдите его...

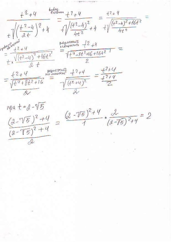
Условие

Упростите выражение и найдите его значение при t=2- sqrt(5)

предмет не задан 1219

Решение

СТРАННОЕ ЗАДАНИЕ. ПОСЛЕ УПРОЩЕНИЯ НЕИЗВЕСТНОЙ НЕТ. ПОЭТОМУ Я ТОЧНО НЕ УВЕРЕНА

Написать комментарий

Меню

Присоединяйся в ВК