Задать свой вопрос   *более 50 000 пользователей получили ответ на «Решим всё»

Задача 34507 Упростите выражение и найдите его...

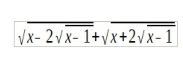
Условие

Упростите выражение и найдите его значение при х=1,2019

предмет не задан 1079

Решение

Обозначим это выражение через a
[b]a ≥ 0[/b]
как сумма двух арифметических квадратных корней.

Возведем в квадрат

x-2sqrt(x-1)+2sqrt(x-2sqrt(x-1))*sqrt(x+2sqrt(x-1))+x+2sqrt(x-1)=a^2

2sqrt(x-2sqrt(x-1))*sqrt(x+2sqrt(x-1))+2x=a^2
2sqrt(x^2-4(x-1))+2x=a^2

2sqrt((x-2)^2)+2x=a^2

2|x-2|+2x=a^2

[b]a=sqrt(2|x-2|+2x)[/b]

при х=1,2019
x-2 < 0
|x-2|=2-x
2*|x-2|+2x=2*(2-x)+2x=4-2x+2x=4

a=sqrt(4)=2

О т в е т. 2

Написать комментарий

Меню

Присоединяйся в ВК