Задать свой вопрос   *более 50 000 пользователей получили ответ на «Решим всё»

Задача 34476 Какую работу совершит сила тяжести при...

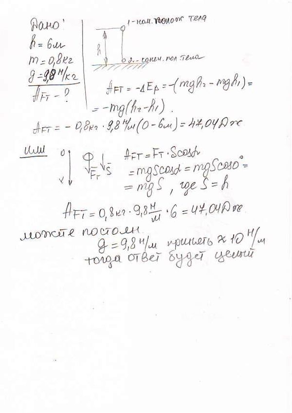
Условие

Какую работу совершит сила тяжести при падении мяча массой 0.8 кг на землю из состояния покоя с высоты 6 метров?

физика 10-11 класс 2980

Все решения

Написать комментарий

Меню

Присоединяйся в ВК