Задать свой вопрос   *более 50 000 пользователей получили ответ на «Решим всё»

Задача 34460 a) Решите уравнение sin(2x+Pi/6) =...

Условие

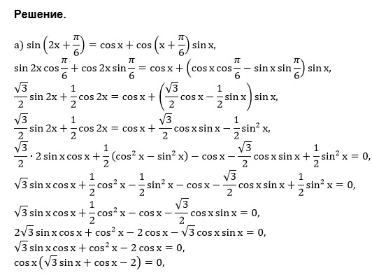
a) Решите уравнение sin(2x+Pi/6) = cosx+cos(x+Pi/6)sinx

б) Определите, какие из его корней принадлежать отрезку [-5Pi; -7Pi/2]

математика 63050

Все решения

Написать комментарий

Категория

Меню

Присоединяйся в ВК