Задать свой вопрос
*более 50 000 пользователей получили ответ на «Решим всё»
Задача 34453
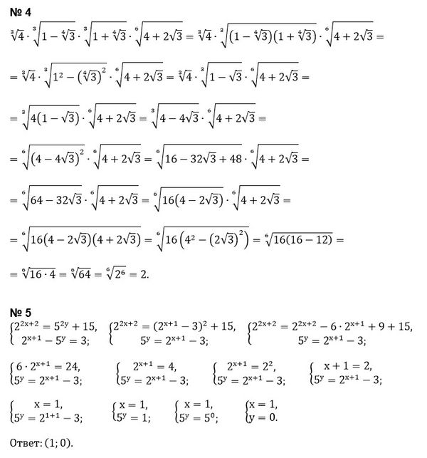
4... 5. system{2^(2x+2) = 5^(2y)+15;...
Условие
vk432205961
2019-03-13 20:38:53
4...
5. system{2^(2x+2) = 5^(2y)+15; 2^(x+1)-5^(y)=3}
математика 10-11 класс
1090
Решение
u821511235
2019-03-13 21:11:16
★
Написать комментарий
Меню
Решим всё
Найти задачу
Категории
Статьи
Тесты
Архив задач
Присоединяйся в ВК