Задать свой вопрос   *более 50 000 пользователей получили ответ на «Решим всё»

Задача 34451 2. Найдите область определения функции...

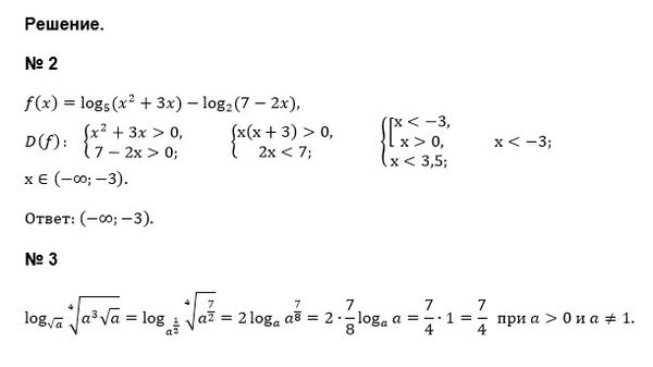
Условие

2. Найдите область определения функции \
[m] f(x) = \log_5 (x^2 + 3x) - \log_2 (7 - 2x). [/m]

3. Упростите выражение ...

математика 10-11 класс 680

Решение

Написать комментарий

Меню

Присоединяйся в ВК