Задать свой вопрос
*более 50 000 пользователей получили ответ на «Решим всё»
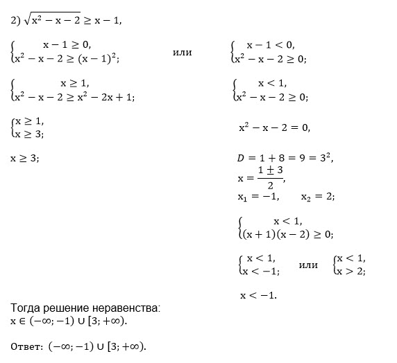
Задача 34433
помогите решить пожалуйста...
Условие
vk280770680
2019-03-13 14:45:59
помогите решить пожалуйста иррациональное уравнение и неравенство
математика ВУЗ
782
Решение
u821511235
2019-03-13 15:08:21
★
Написать комментарий
Меню
Решим всё
Найти задачу
Категории
Статьи
Тесты
Архив задач
Присоединяйся в ВК