Задать свой вопрос
*более 50 000 пользователей получили ответ на «Решим всё»
Задача 34431
Решить показательное уравнение и...
Условие
vk280770680
2019-03-13 13:36:53
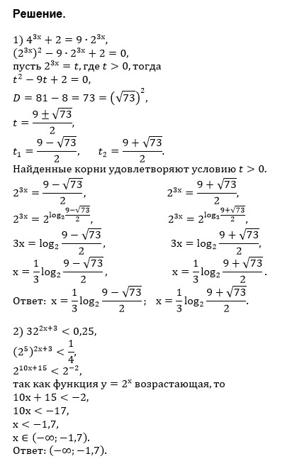
Решить показательное уравнение и неравенство:
{ 4^(3x) + 2 = 9 * 2^(3x)
{ 32^(2x+3) < 0,25
математика ВУЗ
676
Решение
u821511235
2019-03-13 14:14:39
★
Написать комментарий
Меню
Решим всё
Найти задачу
Категории
Статьи
Тесты
Архив задач
Присоединяйся в ВК