Задать свой вопрос
*более 50 000 пользователей получили ответ на «Решим всё»
Задача 34403
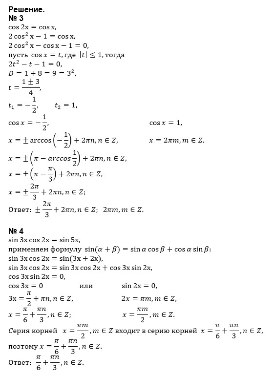
пмогите решить пожалуйта второй и...
Условие
vk280770680
2019-03-12 17:42:09
пмогите решить пожалуйта второй и третий пример
математика ВУЗ
589
Решение
u821511235
2019-03-12 18:19:20
★
Написать комментарий
Меню
Решим всё
Найти задачу
Категории
Статьи
Тесты
Архив задач
Присоединяйся в ВК