Задать свой вопрос
*более 50 000 пользователей получили ответ на «Решим всё»
Задача 34391
...
Условие
priora844
2019-03-12 10:43:05
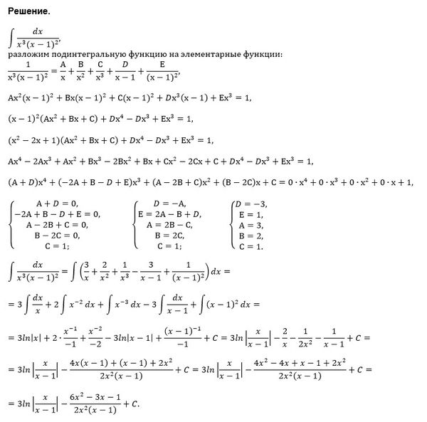
Решить интеграл ∫ dx/(x^3(x-1)^2)
математика ВУЗ
1633
Все решения
u821511235
2019-03-12 13:56:56
Написать комментарий
Категория
Высшая математика
Интегрирование
→
Вычисление интегралов
Меню
Решим всё
Найти задачу
Категории
Статьи
Тесты
Архив задач
Присоединяйся в ВК