Задать свой вопрос
*более 50 000 пользователей получили ответ на «Решим всё»
Задача 34390
...
Условие
priora844
2019-03-12 10:39:55
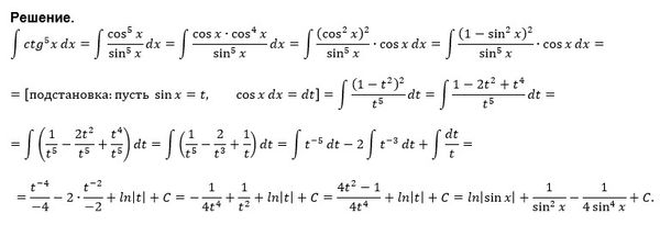
Решить интеграл ∫ ctg^5xdx
математика ВУЗ
3664
Решение
u821511235
2019-03-12 14:48:53
★
Написать комментарий
Категория
Высшая математика
Интегрирование
→
Вычисление интегралов
Меню
Решим всё
Найти задачу
Категории
Статьи
Тесты
Архив задач
Присоединяйся в ВК