Задать свой вопрос
*более 50 000 пользователей получили ответ на «Решим всё»
Задача 34361
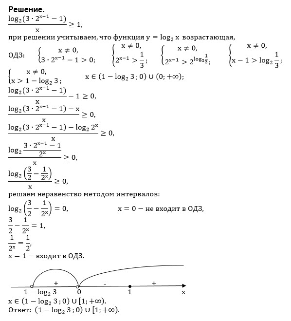
Решите неравенство (log2(3*2^(x-1)-1)) /...
Условие
vk176017302
2019-03-11 16:40:08
Решите неравенство (log2(3*2^(x-1)-1)) / x больше или равно 0
математика 10-11 класс
10023
Решение
u821511235
2019-03-11 17:21:06
★
Написать комментарий
Категория
ЕГЭ по Математике (проф.)
задание 15 (неравенство)
Меню
Решим всё
Найти задачу
Категории
Статьи
Тесты
Архив задач
Присоединяйся в ВК