Задать свой вопрос
*более 50 000 пользователей получили ответ на «Решим всё»
Задача 34358
...
Условие
vk393466386
2019-03-11 14:34:40
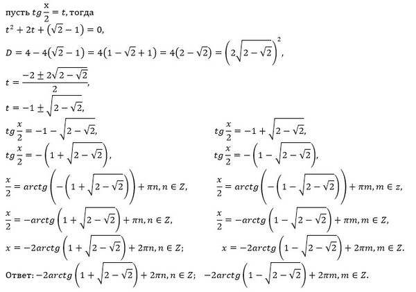
1) (6/5)^(cos3x) + (5/6)^(cos3x) = 2
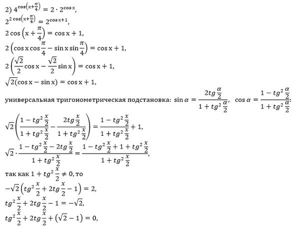
2) 4^(cos(x + π/4)) = 2*2^(cosx)
математика 10-11 класс
566
Все решения
u821511235
2019-03-11 17:29:19
Написать комментарий
Меню
Решим всё
Найти задачу
Категории
Статьи
Тесты
Архив задач
Присоединяйся в ВК