Задать свой вопрос
*более 50 000 пользователей получили ответ на «Решим всё»
Задача 34356
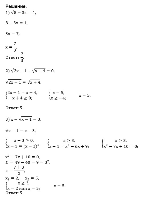
Решите пожалуйста!!!))...
Условие
vk201606530
2019-03-11 12:54:36
Решите пожалуйста!!!))
математика 10-11 класс
715
Все решения
u821511235
2019-03-11 13:37:52
Написать комментарий
Меню
Решим всё
Найти задачу
Категории
Статьи
Тесты
Архив задач
Присоединяйся в ВК