Задать свой вопрос   *более 50 000 пользователей получили ответ на «Решим всё»

Задача 34350 Решить неравенство log^2_(2)(3x-1) +...

Условие

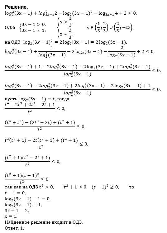
Решить неравенство

log^2_(2)(3x-1) + log^2_(3x-1)2 - log2(3x-1)^2 - log_(3x-1)4 + 2 меньше или равно 0

математика 10-11 класс 25713

Решение

Написать комментарий

Категория

Меню

Присоединяйся в ВК