Задать свой вопрос   *более 50 000 пользователей получили ответ на «Решим всё»

Задача 34346 пуля массой 10 г летевшая со скоростью...

Условие

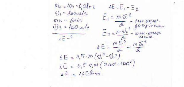
пуля массой 10 г летевшая со скоростью 200 м/с, пробила лежащий на гладком столе пластмассовый кубик массой 200 г и вылетела наружу со скоростью 100м /с. какое количество механической энергии перешло при этом в другии виды энергии

физика ВУЗ 1556

Все решения


Написать комментарий

Меню

Присоединяйся в ВК