
Замена перменной
u=ctgx
du=(ctgx)`dx
du=-dx/sin^2x
dx/sin^2x=-du
∫ dx/(sin^2xsqrt(ctg^2x-25)= ∫ (-du)/sqrt(u^2-25)=
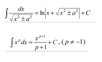
cм. формулу 1 в приложении
=-ln|u+sqrt(u^2-25+C=
=-ln|ctgx+sqrt(ctg^2x-25)|+C
2.
Замена переменной
sin2x=u
du=(sin2x)`dx
du=cos2x*(2x)`dx
du=2cos2xdx
cos2xdx=du/2
∫ (sin2x)^(3/5)cos2xdx= ∫ u^(3/5)*(du/2)=(1/2) ∫ u^(3/5)du=
=см. формулу 2 в приложении=
=(1/2)u^((3/5)+1)/((3/5)+1)+C=(1/2)*u^(8/5)/(8/5)+C=
=(1/2)*(5/8)*(sin2x)^(8/5)+C=
=(5/16)*sin2x*(sin2x)^(3/5) + C