Задать свой вопрос
*более 50 000 пользователей получили ответ на «Решим всё»
Задача 34266
...
Условие
vk155058779
2019-03-07 10:11:28
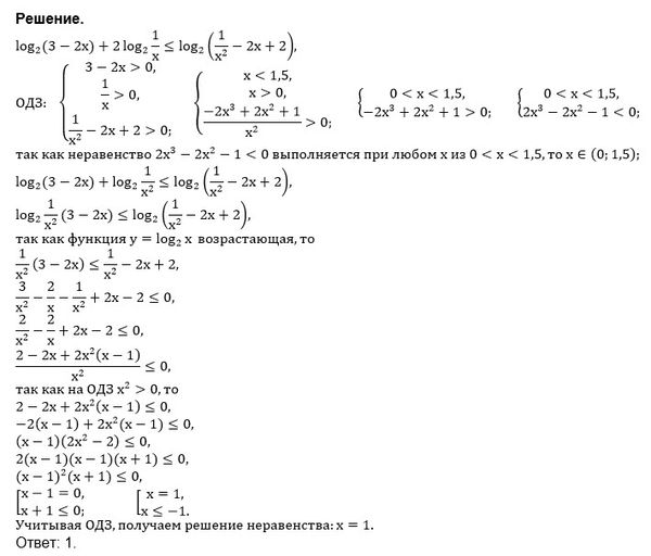
Решите неравенство
log2(3-2x) + 2log2(1/x) ≤ log2((1/x^2) - 2x + 2)
математика 10-11 класс
3661
Решение
u821511235
2019-03-07 11:29:34
★
Написать комментарий
Категория
ЕГЭ по Математике (проф.)
задание 15 (неравенство)
Меню
Решим всё
Найти задачу
Категории
Статьи
Тесты
Архив задач
Присоединяйся в ВК