Задать свой вопрос
*более 50 000 пользователей получили ответ на «Решим всё»
Задача 34260
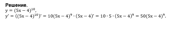
найдите производные y=(5x-4)^10...
Условие
vk324833845
2019-03-06 23:25:12
найдите производные y=(5x-4)^10
предмет не задан
651
Решение
u821511235
2019-03-06 23:50:30
★
Написать комментарий
Меню
Решим всё
Найти задачу
Категории
Статьи
Тесты
Архив задач
Присоединяйся в ВК