Задать свой вопрос   *более 50 000 пользователей получили ответ на «Решим всё»

Задача 34254 1.В уравнении найти то значение х^2 -...

Условие

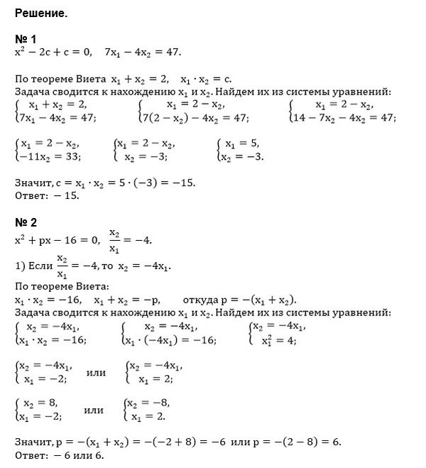
1.В уравнении найти то значение х^2 - 2x +c = 0 , при котором его корни и удовлетворяют условию 7х1 - 4х2 = 47.
2.При каком значении p отношение корней уравнения x^2 +px - 16 = 0 равно -4?

предмет не задан 1963

Решение

1.
По теореме Виета
x_(1)+x_(2)=2
По условию
7х_(1) – 4х_(2) = 47

Система двух уравнений:
{x_(1)+x_(2)=2
{ 7х_(1) – 4х_(2) = 47

Умножаем первое на 4
{4x_(1)+4x_(2)=8
{ 7х_(1) – 4х_(2) = 47

складываем
11x_(1)=55
x_(1)=5
x_(2)=2-x_(1)=2-5=-3

По теореме Виета
x_(1)*x_(2)=с.
с=5*(-3)=-15

2.
По теореме Виета
x_(1)+x_(2)=-p
и
x_(1)*x_(2)=-16
По условию
x_(1)/x_(2)=-4⇒ x_(2)=-4x_(1)

Система двух уравнений:
{x_(1)*x_(2)=-16
{ x_(2)=-4x_(1)

подставим в первое
x_(1)*(-4x_(1))=-16

x^2_(1)=4⇒
x_(1)=2 или ⇒ x_(1)=-2
x_(2)=-4*2=-8 или x_(2)=-4*(-2)=8

тогда
p=-(x_(1)+x_(2))=-(2+(-8)=6 или p=-(x_(1)+x_(2))=-(-2+8)=-6

О т в е т. ±6

Все решения

Написать комментарий

Меню

Присоединяйся в ВК