Задать свой вопрос   *более 50 000 пользователей получили ответ на «Решим всё»

Задача 34249 ...

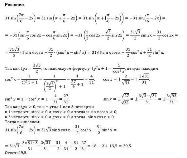
Условие

Найдите значение выражения 31sin((7π/6)-2x), если tgx=3sqrt(3)/2

математика 10-11 класс 1501

Решение



Ответ: 29,5

Решение

sin((7π/6)–2x)=sin(7π/6)*cos2x-cos(7π/6)*sin2x
sin(7π/6)=-1/2
cos(7π/6)=-sqrt(3)/2

Так как
sin2x=2tgx/(1+tg^2x); cos2x=(1-tg^2x)/(1+tg^2x)
и
tgx=3√3/2

tg^2x=27/4,то

sin2x=12sqrt(3)/31

cos2x=-23/31

sin((7π/6)–2x)= (-1/2)*(-23/31) - (-sqrt(3)/2)*(12sqrt(3))/31=59/62

31sin((7π/6)–2x)=31*(59/62)=59/2=29,5
О т в е т. 29,5

Все решения

Написать комментарий

Категория

Меню

Присоединяйся в ВК