Задать свой вопрос
*более 50 000 пользователей получили ответ на «Решим всё»
Задача 34245
Интегрирование дробно-рациональных...
Условие
kolya
2019-03-06 19:06:35
Интегрирование дробно-рациональных функций!
математика ВУЗ
714
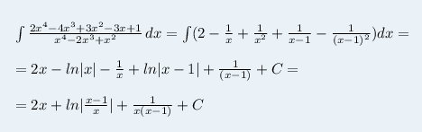
Решение
sova
2019-03-06 19:35:33
★
Написать комментарий
Меню
Решим всё
Найти задачу
Категории
Статьи
Тесты
Архив задач
Присоединяйся в ВК