Задать свой вопрос   *более 50 000 пользователей получили ответ на «Решим всё»

Задача 34222 Определить ЭДС и внутреннее...

Условие

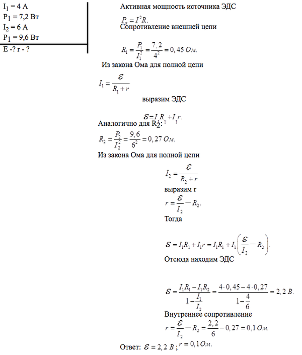
Определить ЭДС и внутреннее сопротивление аккумулятора, если при токе 4 А он отдает во внешнюю цепь 7,2 Вт, а при токе 6 А – 9,6 Вт.

физика 3231

Решение

Написать комментарий

Меню

Присоединяйся в ВК