Задать свой вопрос   *более 50 000 пользователей получили ответ на «Решим всё»

Задача 34213 ...

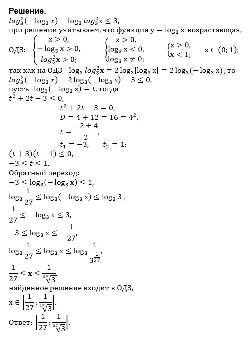
Условие

Решить неравенство log^2_(3)(-log3x)+log3log^2_(3)x ≤ 3

математика 10-11 класс 3106

Решение

Все решения

Тема. [b]Логарифмические неравенства.[/b]
(повышенной трудности)

ОДЗ:
{x>0
{- log_(3)x > 0 ⇒ log_(3)x < 0 ⇒

[b] 0 < x < 1[/b]

По свойству логарифма степени
log_(3)t^2=2log_(3)|t|
t=log_(3)x

Так как согласно ОДЗ:
log_(3)x < 0,
| log_(3)x| = - log_(3)x
поэтому
log_(3)log^2_(3)x=log_(3)(log_(3)x)^2=2log_(3)|log_(3)x|=

=2log_(3)(-log_(3)x)

Неравенство принимает вид

log^2_(3)(-log_(3)x) +2log_(3)(-log_(3)x) ≤ 3

[b]log^2_(3)(-log_(3)x) +2log_(3)(-log_(3)x) - 3 ≤ 0[/b] ( #)

Квадратное неравенство
D=4+12=16
корни
-3 и 1

Решение квадратного неравенства (#):
[b]-3 ≤ log_(3)(-log_(3)x) ≤ 1[/b]

1=log_(3)3


-3*log_(3)3 ≤ log_(3)(-log_(3)x)≤ 1* log_(3)3

-3*1=-3log_(3)3=log_(3)3^(-3)

[b]log_(3)[/b]3^(-3) ≤ [b]log_(3)[/b](-log_(3)x)≤ [b]log_(3)[/b]3

Логарифмическая функция с основанием 3 возрастающая, большему значению функции соответствует большее значение аргумента
3^(-3) ≤(-log_(3)x)≤ 3

(1/27) ≤ (-log_(3)x)≤ 3

Умножаем на (-1), знак неравенства меняется на противоположный

-3 ≤ log_(3)x ≤ (-1/27)

-3*log_(3)3 ≤ log_(3)x ≤ (-1/27)*log_(3)3

log_(3)3^(-3) ≤ log_(3)x ≤ log_(3)3^(-1/27)

Логарифмическая функция с основанием 3 возрастающая, большему значению функции соответствует большее значение аргумента

(1/27) ≤ x ≤ 3^(-1/27) входит в ОДЗ, так как

3^(-1/27) < 1 ( см. рис.)


о т в е т. [1/27;3^(-1/27]

Написать комментарий

Категория

Меню

Присоединяйся в ВК