Задать свой вопрос   *более 50 000 пользователей получили ответ на «Решим всё»

Задача 34199 ...

Условие

Решить показательные уравнения

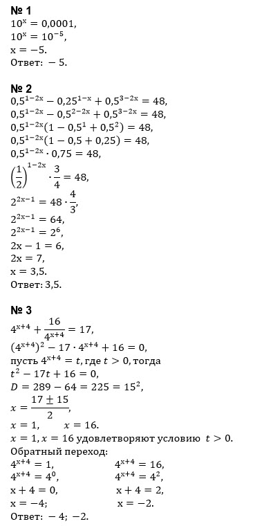
1. 10^x = 0,0001
2. 0,5^(1-2x)-0,25^(1-x)+0,5^(3-2x) = 48
3. 4^(x+4) + 16/4^(x+4) = 17

Показательные неравенства

1. 0,9^x ≥ 1 целая 19/81

2. (1/3)^(2x) - 6*(1/3)^x - 27 ≤ 0

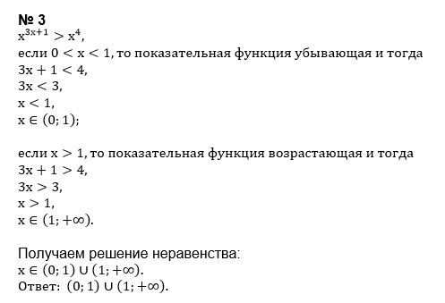
3. x^(3x+1) > x^4

математика ВУЗ 3417

Решение

Написать комментарий

Меню

Присоединяйся в ВК