Задать свой вопрос   *более 50 000 пользователей получили ответ на «Решим всё»

Задача 34135 tg(п-x)cos(3п\2-2х)=sin5п\6...

Условие

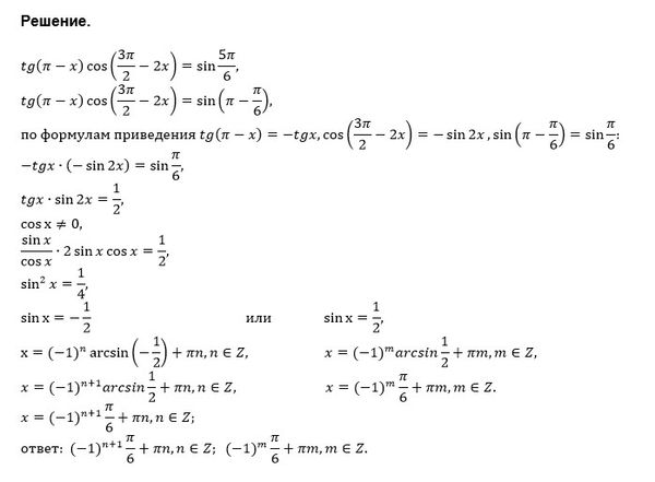
tg(п-x)cos(3п\2-2х)=sin5п\6

предмет не задан 13152

Решение

Все решения

tg(π-x)cos(3π/2-2x)=sin(5π/6); (x ≠ π/2+kπ, k ∈ Z)
-tg(x)*(-sin(2x))=1/2
(sin(x))/(cos(x))*2sin(x)*cos(x)=1/2
sin(x)*2sin(x)=1/2
2sin(x)^2=1/2
sin(x)^2=1/4
sin(x)= ± 1/2

Написать комментарий

Меню

Присоединяйся в ВК