Задать свой вопрос
*более 50 000 пользователей получили ответ на «Решим всё»
Задача 34118
...
Условие
graem
2019-03-03 11:39:24
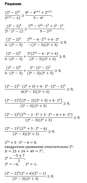
Решите неравенство: (2^x - 2)^3 / (2^(x+2) - 12) ≥ (8^x - 4^(x+1) + 2^(x+2))/(9-4^x)
предмет не задан
1260
Решение
u821511235
2019-03-04 00:41:06
★
Написать комментарий
Категория
ЕГЭ по Математике (проф.)
задание 15 (неравенство)
Меню
Решим всё
Найти задачу
Категории
Статьи
Тесты
Архив задач
Присоединяйся в ВК