Задать свой вопрос
*более 50 000 пользователей получили ответ на «Решим всё»
Задача 34075
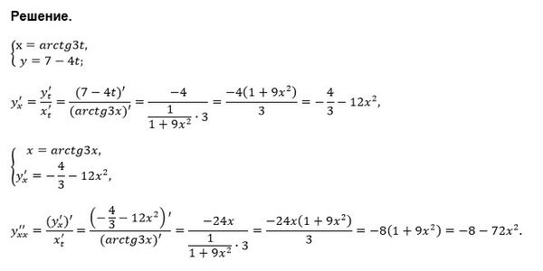
Найти производные y'_(x) и y''_(xx) от...
Условие
vk253613717
2019-03-01 18:26:12
Найти производные y'_(x) и y''_(xx) от параметрически заданной функции x=arctg3t, y=7-4t
математика ВУЗ
2743
Все решения
u821511235
2019-03-01 21:00:43
Написать комментарий
Меню
Решим всё
Найти задачу
Категории
Статьи
Тесты
Архив задач
Присоединяйся в ВК