Задать свой вопрос
*более 50 000 пользователей получили ответ на «Решим всё»
Задача 34063
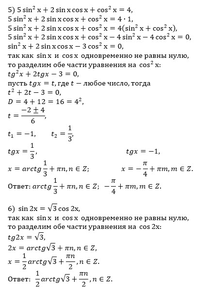
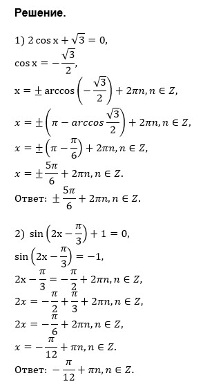
Решить все эти примеры ...
Условие
vk270968284
2019-03-01 09:50:00
Решить все эти примеры
математика 10-11 класс
609
Все решения
u821511235
2019-03-01 22:12:52
Написать комментарий
Меню
Решим всё
Найти задачу
Категории
Статьи
Тесты
Архив задач
Присоединяйся в ВК