Задать свой вопрос
*более 50 000 пользователей получили ответ на «Решим всё»
Задача 34062
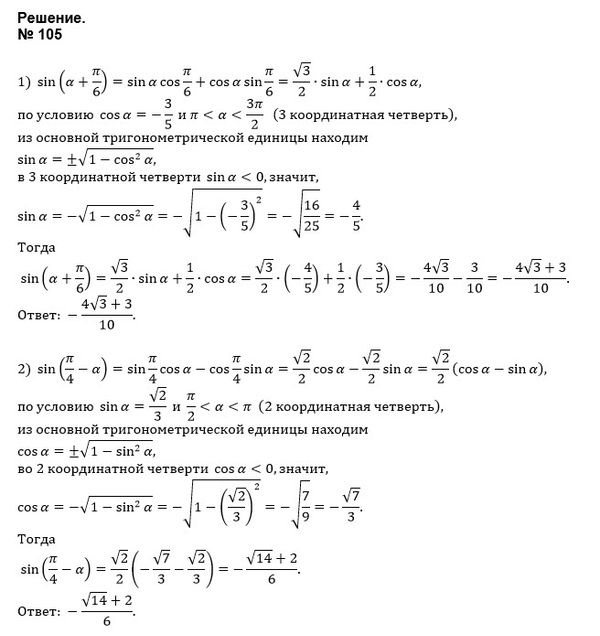
sin(a+Pi/6), если cosa = -3/5 и Pi < a <...
Условие
vk325869244
2019-03-01 08:32:20
sin(a+Pi/6), если cosa = -3/5 и Pi < a < 3Pi/2
математика 10-11 класс
2403
Все решения
u821511235
2019-03-01 16:52:26
Написать комментарий
Меню
Решим всё
Найти задачу
Категории
Статьи
Тесты
Архив задач
Присоединяйся в ВК