Задать свой вопрос
*более 50 000 пользователей получили ответ на «Решим всё»
Задача 34060
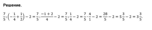
7/5:(-1/4+1/2)-2 ...
Условие
vk369978878
2019-03-01 00:12:50
7/5:(-1/4+1/2)-2
предмет не задан
531
Все решения
u821511235
2019-03-01 00:36:07
Написать комментарий
Меню
Решим всё
Найти задачу
Категории
Статьи
Тесты
Архив задач
Присоединяйся в ВК