Задать свой вопрос   *более 50 000 пользователей получили ответ на «Решим всё»

Задача 33979 1) f(x)=(x^(2) -1)(x^(4) +2), найти f '...

Условие

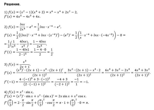
1) f(x)=(x^(2) -1)(x^(4) +2), найти f ' (x)
2) f(x)= ln x/2x^(4) - e^(2) , найти f ' (1)
3) f(x) = x^(3)/ 2x+1 , найти f ' (1)
4) f(x) = x^(2)умножить на sin x , найти f ' ( n/2)

математика ВУЗ 2149

Решение

Написать комментарий

Меню

Присоединяйся в ВК