Задать свой вопрос   *более 50 000 пользователей получили ответ на «Решим всё»

Задача 33944 ...

Условие

Решите пожалуйста, очень нужно .

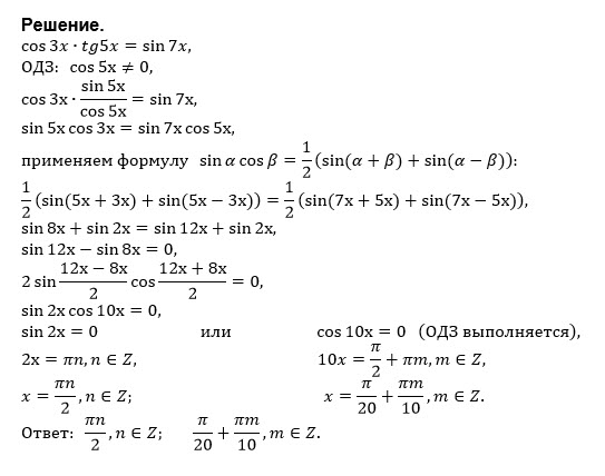
Cos3x × tg5x = sin7x

математика 2011

Все решения

tg5x=sin5x/cos5x;
cos5x ≠ 0

cos3x*sin5x=sin7x*cos5x

(1/2) sin8x +(1/2)sin2x = (1/2)sin12x+(1/2)sin2x;

sin8x=sin12x

sin8x-sin12x=0

2sin(-2х)*cos(10х)=0

-2*sin2x*cos10x=0

sin(2х)=0 ⇒ (2x)=πk, k ∈ Z ⇒ [b] x=(π/2)*k, k ∈ Z[/b]

или

cos(10)=0 ⇒ (10х)=(π/2)+πn, n ∈ Z⇒ [b]x =(π/20)+(π/10)*n, n ∈ Z[/b]

удовлетворяют условию cos5x ≠ 0 ⇒ x ≠ (π/10)+(π/5)*m, m ∈ Z

Множества не пересекаются.

О т в е т. x=(π/2)*k, k ∈ Z; x =(π/20)+(π/10)*n,n ∈ Z

Написать комментарий

Меню

Присоединяйся в ВК