Задать свой вопрос   *более 50 000 пользователей получили ответ на «Решим всё»

Задача 33940 Решите пожалуйста, очень нужно. Cos 10x...

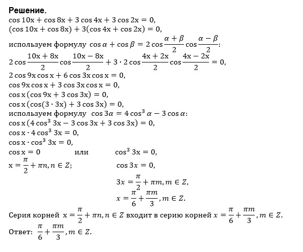
Условие

Решите пожалуйста, очень нужно.

Cos 10x + cos 8x + 3cos4x + 3cos2x = 0

математика 1710

Решение

(сos10x+cos8x)+3*(cos4x+cos2x)=0

2cos9x*cosx +6 cos3x*cosx=0

2cosx*(cos9x+3cos3x)=0

cosx=0 ⇒ [b] x=(π/2)+πk, k ∈ Z[/b]

или

cos9x+3cos3x=0
cos3*(3x)+3cos3x=0
Формула
cos3 α =4cos^3 α -3cos α

4cos^33x-3cosx+3cosx=0
cos^33x=0
cos3x=0
3x=(π/2)+πn, n ∈ Z
[b]x=(π/6)+(π/3)*n, n ∈ Z[/b]
Найденные ранее корни входят в это множество.

О т в е т. (π/6)+(π/3)*n, n ∈ Z

Все решения

Написать комментарий

Меню

Присоединяйся в ВК