Задать свой вопрос   *более 50 000 пользователей получили ответ на «Решим всё»

Задача 33937 Решите пожалуйста, очень нужно. Sin2x +...

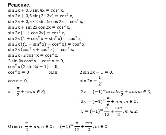
Условие

Решите пожалуйста, очень нужно.
Sin2x + 0,5sin4x = cos^2x

математика 883

Решение

По формулам двойного угла
sin4x=2sin2x*cos2x

Тогда левая часть уравнения :
sin2x+0,4sin4x=sin2x+sin2x*cos2x=sin2x*(1+cos2x)=sin2x*2cos^2x

Уравнение принимает вид:
sin2x*2cos^2x=cos^2x
или
cos^2x*(2sin2x-1)=0
cosx=0 ⇒ [b] x=(π/2)+πn, n ∈ Z[/b]
или
sin2x=1/2 ⇒ 2x=(-1)^(k)*(π/6)+πk, k ∈ Z ⇒ [b]x=(-1)^(k)*(π/12)+(π/2)k, k ∈ Z[/b]

Все решения

Написать комментарий

Меню

Присоединяйся в ВК