Задать свой вопрос
*более 50 000 пользователей получили ответ на «Решим всё»
Задача 33923
3) 2cos^2+5sinx+1 = 0 4) 8sin^4x =...
Условие
vk201606530
2019-02-26 17:10:36
3) 2cos^2+5sinx+1 = 0
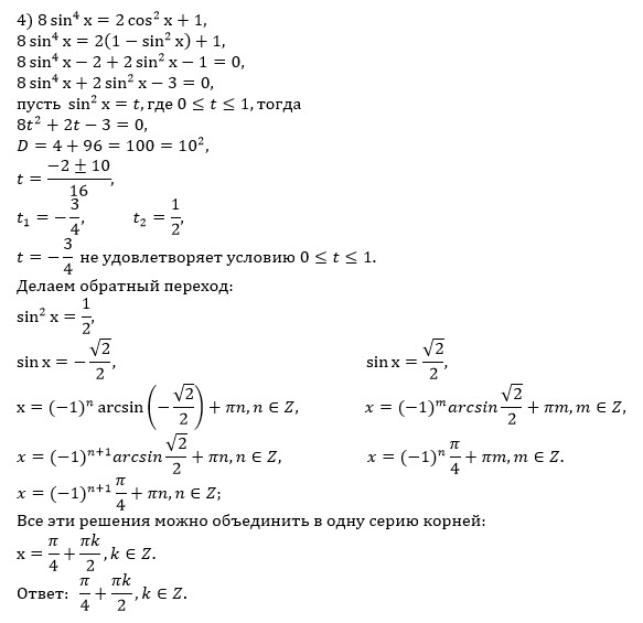
4) 8sin^4x = 2cos^2x+1
5) 2cos^2x-2sin2x+1 = 0
математика 10-11 класс
2292
Решение
u821511235
2019-02-26 20:32:30
★
Написать комментарий
Меню
Решим всё
Найти задачу
Категории
Статьи
Тесты
Архив задач
Присоединяйся в ВК