Задать свой вопрос
*более 50 000 пользователей получили ответ на «Решим всё»
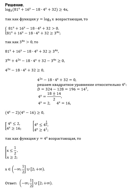
Задача 33906
log3(81^x+16^x-18*4^x+32) больше или...
Условие
slava191
2019-02-26 09:32:30
log3(81^x+16^x-18*4^x+32) больше или равно 4x
математика 10-11 класс
13463
Решение
u821511235
2019-02-26 10:31:29
★
Написать комментарий
Категория
ЕГЭ по Математике (проф.)
задание 15 (неравенство)
Меню
Решим всё
Найти задачу
Категории
Статьи
Тесты
Архив задач
Присоединяйся в ВК