Задать свой вопрос   *более 50 000 пользователей получили ответ на «Решим всё»

Задача 33860 ...

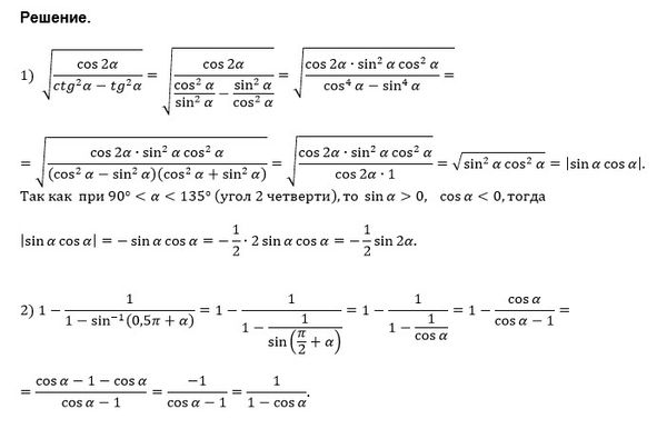
Условие

Упростить выражения:
1) sqrt(cos2a / ctg^2a - tg^2a), при 90`<a<135`
2) 1 - (1) / (1 - sin^-1(0,5 π+a)

математика 10-11 класс 2378

Решение

Написать комментарий

Меню

Присоединяйся в ВК