Задать свой вопрос   *более 50 000 пользователей получили ответ на «Решим всё»

Задача 33774 ...

Условие

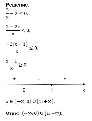
Решите методом интервалов (2/x)-2 ≤ 0

математика 969

Все решения

(2-2х)/x ≤ 0

Умножим неравенство на (-1), при этом знак неравенства меняется на противоположный

2*(x-1)/x ≥ 0

Нуль числителя
x=1
Нуль знаменателя
х=0
Функция y=2*(x-1)/x положительна справа от 1

__+_ (0) __-__ [1] _+__

Ставим + и знаки чередуем
О т в е т. (- ∞ ;0) U [1;+ ∞ )

2 способ
(2-2х)х ≤ 0
Находим нули числителя
2-2х=0
х=1
Отмечаем заполненным кружком, здесь [ ]

Нуль знаменателя х=0
___(0) ____ [1] ___

Находим знак функции y=(2-2x)/x в интервале (1;+ ∞ )
Выбираем точку х=10

y(10)=(2-2*10)/(10) < 0

Ставим справа минус и знаки чередуем
_-__(0) __+__ [1] __-_

О т в е т. (- ∞ ;0) U [1;+ ∞ )

Написать комментарий

Меню

Присоединяйся в ВК