Задать свой вопрос   *более 50 000 пользователей получили ответ на «Решим всё»

Задача 33754 6х^6+х^4+х:2х^4-3х^2(деление...

Условие

6х^6+х^4+х:2х^4-3х^2(деление многочленов)

предмет не задан 10-11 класс 1498

Решение

Можно делить многочлен на многочлен углом.
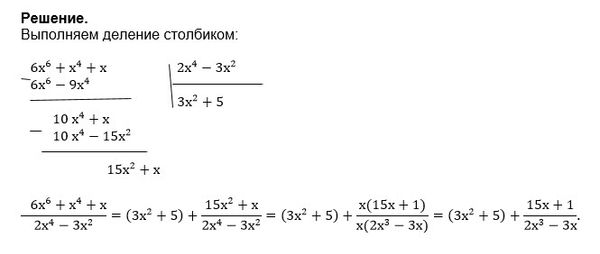
6x^6 + x^4 + x | 2x^4-3x^2

В частном 3x^2

6x6 -9x^4

вычитаем ( из 6x^6 + x^4 + x - (6x^6 -9x^4) ) получаем

. .10x^4+x

в частном 5

10x^4 - 15x^2

вычитаем ( из 10x^4 + x вычитаем 10x^4-15x^2) получаем


15x^2+x - степень меньше чем степень делителя. Это остаток

Запись:

(6x^6+x^4+x)/(2x^4-3x^2) = (3x^2+5) + (15x^2+x)/(2x^4-3x^2)


сравнить например, с 17/3 = 5 + (2/3)

Все решения

Написать комментарий

Меню

Присоединяйся в ВК