Задать свой вопрос
*более 50 000 пользователей получили ответ на «Решим всё»
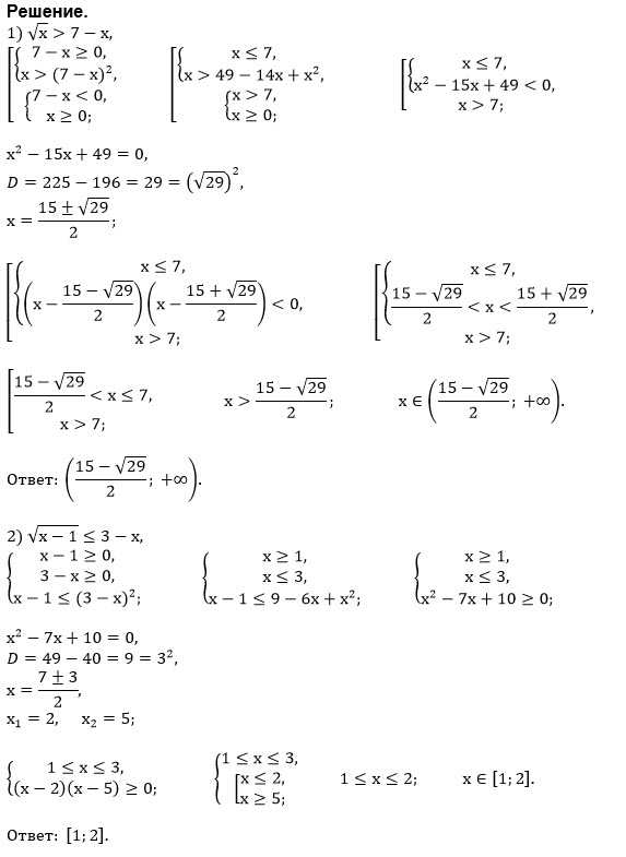
Задача 33753
Помогит решить неравенство срочно...
Условие
vk280770680
2019-02-20 16:58:10
Помогит решить неравенство срочно пожайлуста
математика ВУЗ
613
Решение
u821511235
2019-02-20 18:18:58
★
Написать комментарий
Меню
Решим всё
Найти задачу
Категории
Статьи
Тесты
Архив задач
Присоединяйся в ВК