Задать свой вопрос
*более 50 000 пользователей получили ответ на «Решим всё»
Задача 33749
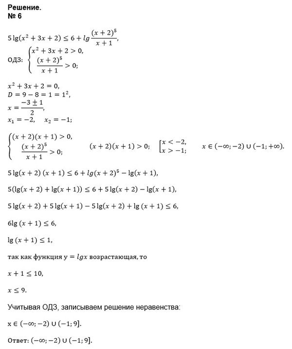
Решить неравенство 5lg(x^2+3x+2)...
Условие
vk160064007
2019-02-20 16:25:45
Решить неравенство
5lg(x^2+3x+2) меньше или равно 6+lg((x+2)^5/(x+1))
математика 10-11 класс
1347
Решение
u821511235
2019-02-20 20:12:47
★
Написать комментарий
Категория
ЕГЭ по Математике (проф.)
задание 15 (неравенство)
Меню
Решим всё
Найти задачу
Категории
Статьи
Тесты
Архив задач
Присоединяйся в ВК