Задать свой вопрос   *более 50 000 пользователей получили ответ на «Решим всё»

Задача 3371 ...

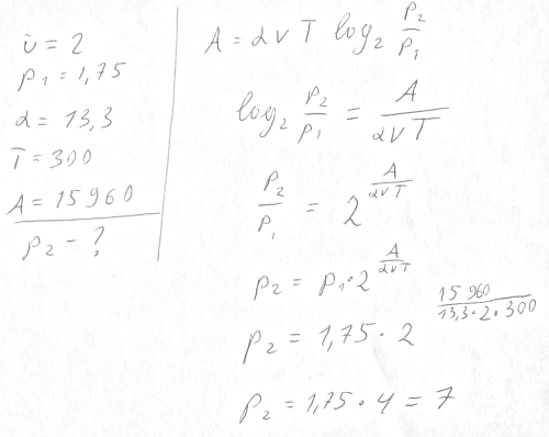
Условие

Водолазный колокол, содержащий υ = 2 моля воздуха при давлении p1 =1,75 атмосферы, медленно опускают на дно водоёма. При этом происходит изотермическое сжатие воздуха до конечного давления p2. Работа, совершаемая водой при сжатии воздуха, определяется выражением A = αυT*log2(p2/p1), где α = 13.3 Дж/(моль*К) — постоянная, T = 300 K — температура воздуха. Найдите, какое давление p2 (в атм) будет иметь воздух в колоколе, если при сжатии воздуха была совершена работа в 15 960 Дж

математика 10-11 класс 23623

Решение

Чтобы выразить здесь p2 нужно знать <a href=http://reshimvse.com/article.php?id=9>логарифмы</a>


Ответ: 7

Написать комментарий

Меню

Присоединяйся в ВК