Задать свой вопрос   *более 50 000 пользователей получили ответ на «Решим всё»

Задача 33705 Решить систему уравнений х^2/y + y^2/x...

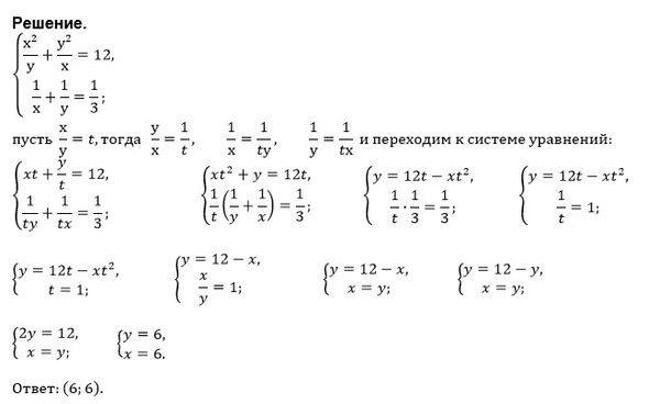
Условие

Решить систему уравнений

х^2/y + y^2/x = 12
1/x + 1/y = 1/3

математика 10-11 класс 4633

Решение

Все решения

x ≠ 0; y ≠ 0

Умножим первое уравнение на второе
[b]([/b]x^2/y + y^2/x[b])[/b]*[b]([/b]1/x+1/y[b])[/b]=4;

(x/y) + (y^2/x^2) + (x^2/y^2) + (y/x) = 4;

Замена
[b]x/y + y/x = t[/b]
Возводим в квадрат
x^2/y^2 + 2*(x/y)*(y/x) + y^2/x^2= t^2

x^2/y^2 + 2 + y^2/x^2 = t^2 ⇒

x^2/y^2 + y^2/x^2 = t^2 - 2

t + (t^2 - 2) = 4

t^2+t-6=0

D=1+24=25
t=2 или t=-3

Обратные переходы:
(1) (x/y)+(y/x)=2 ⇒ (x/y)^2 - 2(x/y) + 1 = 0 ⇒ ( x/y - 1)^2=0 ⇒ x/y =1

Подставляем y=x во второе уравнение системы:
2/x=1/3
x_(1)=6
y_(1)=6

ИЛИ
(2)
(x/y) + (y/x) = - 3 ⇒ (x/y)^2+3(x/y)+1=0 D=9-4=5; уравнение имеет два корня:

x/y=(- 3 +sqrt(5))/2 ⇒ y=-2x/(3-sqrt(5)) подставляем во второе уравнение исходной системы
(3+sqrt(5))/(-2x)+(1/x)=(1/3) ⇒ (1/x)*(1 - (3+sqrt(5))/2)=1/3

x_(2)=(3/2)*(-1-sqrt(5);
y_(2)= (3+3sqrt(5))/(3+sqrt(5);


x/y=(- 3 +sqrt(5))/2 ⇒ y=-2x/(3+sqrt(5)) подставляем во второе уравнение исходной системы
(3-sqrt(5))/(-2x)+(1/x)=(1/3) ⇒ (1/x)*(1 - (3-sqrt(5))/2)=1/3

x_(3)=(3/2)*(-1+sqrt(5));
y_(3)= (3-3sqrt(5))/(3+sqrt(5)).

О т в е т.
(6;6);
((3/2)*(-1-sqrt(5));(3+3sqrt(5))/(3+sqrt(5));
((3/2)*(-1+sqrt(5)); (3-3sqrt(5))/(3+sqrt(5)).

Написать комментарий

Меню

Присоединяйся в ВК