Задать свой вопрос
*более 50 000 пользователей получили ответ на «Решим всё»
Задача 33573
...
Условие
vk160064007
2019-02-13 21:07:48
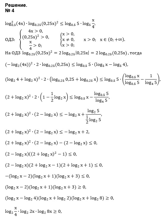
Решите неравенство
log^2_(0,5) (4x) * log(0,25) (0,25x)^2 ≤ log(0,5)5*log5(x/4)
математика 10-11 класс
3789
Решение
u821511235
2019-02-13 22:11:16
★
Написать комментарий
Категория
ЕГЭ по Математике (проф.)
задание 15 (неравенство)
Меню
Решим всё
Найти задачу
Категории
Статьи
Тесты
Архив задач
Присоединяйся в ВК