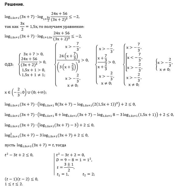
log(1,5x+1)(3x+7)*log(1+(3x/2))((24x+56)/(3x+2)^3) меньше или равно -2

24x+56=8*(3x+7)
ОДЗ:
{1,5x+1>0 ⇒ x > - 2/3;
{1,5x+1 ≠ 1 ⇒ x ≠ 0;
{3x+7 > 0 ⇒ x > -7/3
в перечисленных условиях уже учтено, что
(24х+56)/(3х+2) >0
ОДЗ:
x ∈ (-2/3; 0) U (0; + ∞ )
Применяем свойства логарифмов ко второму логарифму
логарифм частного равен разности логарифмов
log_(1+(3x/2))(24x+56)/(3x+2)^3=
=log_(1+(3x/2))(24x+56)- log_(1+(3x/2))(3x+2)^3=
=log_(1+1,5x)(8*(3x+7)) -3log_(1+1,5x)*(2*(1+1,5x))=
логарифм произведения равен сумме логарифмов
= log_(1+1,5x)8 + log_(1+1,5x)(3x+7) - 3log_(1+1,5x)2-3log_(1+1,5x)(1+1,5x)=
=3log_(1+1,5x)2+log_(1+1,5x)(3x+7) - 3log_(1+1,5x)2-3=
=log_(1+1,5x)(3x+7)-3
Получаем уравнение
log_(1+1,5x)(3x+7)*[b](log_(1+1,5x)(3x+7)-3)[/b] ≤ -2
Замена переменной
[b]t=log_(1+1,5x)(3x+7)[/b]
t*(t-3) ≤ -2
t^2-3t+2 ≤ 0
D=9-8=1
t_(1)=(3-1)/2=1 или t_(2)=(3+1)/2=2
___ [1] _ -__ [2] __
1 ≤ t ≤ 2
Обратная замена
1 ≤ log_(1+1,5x)(3x+7) ≤ 2
{log_(1+1,5x)(3x+7) ≥ 1=log_(1+1,5x)(1+1,5x)
{log_(1+1,5x)(3x+7) ≤ log_(1+1,5x)(1+1,5x)^2
[b]
Применяем [b] метод рационализации логарифмических неравенств [/b] ( см. приложение) к каждому уравнению системы
{log_(1+1,5x)(3x+7) ≥ 1=log_(1+1,5x)(1+1,5x)
{log_(1+1,5x)(3x+7) ≤ log_(1+1,5x)(1+1,5x)^2
Получим
{(1+1,5x-1)*(3x+7-1-1,5x) ≥0
{(1+1,5x-1) *(3x+7-(1+1,5x)^2) ≤ 0
{1,5x*(1,5x+6) ≥ 0
{1,5x*(3x+7-1-3x-2,25x^2) ≤ 0
Так как множитель x есть в каждом неравенстве системе
рассматриваем два случая с учетом ОДЗ:
(1)
{(-2/3)< x<0;
{1,5x+6 ≤ 0⇒ x ≤ -4
{-2,25x^2+6 ≥ 0
первое и второе неравенства системы несовместны
cистема не имеет решений.
(2)
{x>0
{1,5x+6 ≥0 ⇒ x ≥ -4
{-2,25x^2+6 ≤ 0 ⇒x^2≥ 8/3
x≥ sqrt(8/3)=sqrt(24)/(3)=2sqrt(6)/3
О т в е т. [2sqrt(6)/3;+ ∞ )