Задать свой вопрос   *более 50 000 пользователей получили ответ на «Решим всё»

Задача 33544 Решить неравенство...

Условие

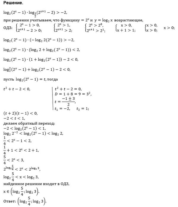
Решить неравенство log2(2^x-1)*log(1/2)(2^(x+1)-2) > -2

математика 10-11 класс 1788

Все решения

ОДЗ: 2^(x)-1 > 0
2^(x)> 1
2^(x)> 2^(0)
x>0

ОДЗ: х > 0

Применяем свойства логарифмов:
log_(1/2)(2^(x+1)-2)=log_(1/2)2*(2^x-1)= логарифм произведения
= log_(1/2)2+log_(1/2)(2^x-1) =
формула перехода к другому основанию ( к основанию 2)

= - 1 - log_(2)(2^(x)-1)

log_(2^x-1)*(-1-log_(2)(2^(x)-1) > -2

Квадратное неравенство
log_(2)(2^(x)-1)=t

t*(-1-t)>-2
t*(t+1) < 2

t^2+t-2 <0
D=9
t_(1)=(-1-3)/2=-2; t_(2)=(-1+3)/2=1
-2 < t < 1

Значит

-2 < log_(2) (2^(x)-1) < 1

log_(2)(1/4) < log_(2) (2^(x)-1) < log_(2)2

Логарифмическая функция с основанием 2 возрастающая, поэтому

(1/4) < 2^(x)-1< 2

(1/4)+1 < 2^(x) < 3

2^(log_(2)(5/4)) < 2^(x) < 2 ^(log_(2) 3)

log_(2)(5/4) x< x < log_(2)3
О т в е т. (log_(2)(5/4);log_(2)3)

Написать комментарий

Категория

Меню

Присоединяйся в ВК